-
목차
반응형SCM의 역사: 주요 이론 및 모델
공급망 관리(Supply Chain Management, SCM)는 현대 비즈니스 환경에서 필수적인 요소로 자리 잡고 있으며, 그 역사적 발전 과정은 복잡하고 다채롭습니다. SCM의 발전은 다양한 이론과 모델에 의해 형성되어 왔으며, 이는 공급망의 효율성을 높이고, 비용을 절감하며, 고객 만족도를 향상시키기 위한 노력의 일환입니다. 본 글에서는 SCM의 역사 속에서 중요한 역할을 한 이론과 모델을 살펴보겠습니다.
반응형1. 재고 이론
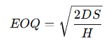
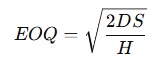
SCM의 초기 이론 중 하나는 재고 이론입니다. 20세기 초, 생산과 재고 관리가 산업의 효율성을 결정짓는 중요한 요소로 부각되면서, 여러 가지 재고 관리 기법이 개발되었습니다. 대표적인 이론으로는 EOQ(경제적 주문량, Economic Order Quantity) 모델이 있습니다. EOQ는 재고 관리에서 사용되는 중요한 개념으로, 재고 보충을 위한 최적의 주문량을 결정하는 이론입니다. 기업들은
EOQ 모델을 토대로 주문 비용과 재고 유지 비용을 최소화하기 위해 최적의 주문량을 계산했습니다. 이 이론은 재고 비용을 효과적으로 관리하는 데 도움을 주었으며, 이후 SCM의 발전에 기초가 되었습니다.
EOQ 모델을 통해 기업은 재고를 효율적으로 관리하여 비용을 절감하고, 재고 부족 및 과잉 재고 문제를 예방할 수 있습니다. 이 외에도 ABC 분석과 같은 기법이 개발되어, 제품의 중요도에 따라 관리 전략을 달리할 수 있는 방법이 제시되었습니다.* EOQ 모델 설명
EOQ 모델의 목적은 주문 비용(Order Cost)과 재고 보유 비용(Holding Cost)을 균형있게 고려하는 것입니다.
1. 주문 비용: 재고를 주문할 때 발생하는 비용 (주문 처리, 운송, 배송 등 포함)
2. 재고 보유 비용: 재고를 보유하면서 발생하는 비용 (창고 임대료 등 포함)
EOQ 모델은 이 두 비용을 최소화하기 위한 최적의 주문량을 계산하는 방법입니다. 이 모델을 사용하여 재고 부족이나 과잉 재고를 해결할 수 있으며, 이를 통해 비용을 절감하고 운영 효율성을 높일 수 있습니다.

- D: 연간 수요량
- S: 주문 1회당 비용
- H: 단위당 연간 보유 비용
2. 공급망 이론
1980년대에 들어서면서 공급망 이론이 주목받기 시작했습니다. 이 시기에 기업들은 단순히 내부 운영 효율성을 넘어서, 외부의 공급업체와 고객과의 관계를 고려하기 시작했습니다. 공급망 이론은 공급자, 제조업체, 유통업체, 소비자 간의 복잡한 관계를 이해하고 최적화하기 위한 프레임워크를 제공합니다.
이 이론에서는 공급망의 각 단계에서 발생하는 정보와 자원의 흐름을 체계적으로 관리하는 것이 중요해졌습니다. 이를 위해 SCOR 모델(Supply Chain Operations Reference Model)이 개발되었으며, 이 모델은 공급망의 계획, 조달, 생산, 배송, 반품 등 SCM 전반의 Value Chain 상 프로세스를 표준화하여 각 단계의 성과를 측정하고 개선할 수 있는 기초를 제공합니다. SCOR 모델은 기업들이 공급망의 각 구성 요소를 분석하고, 성과를 극대화하기 위한 전략을 수립하는 데 도움을 줍니다.3. 리드타임 감소 이론
리드타임 감소 이론은 공급망의 효율성을 높이는 또 다른 중요한 접근법입니다. 이 이론은 제품이 공급업체에서 소비자에게 전달되는 데 걸리는 시간을 최소화하는 데 중점을 둡니다. 리드타임을 줄이면 재고 비용을 낮추고, 고객의 요구에 신속하게 대응할 수 있는 장점이 있습니다.
이와 관련하여 JIT(Just-In-Time) 생산 방식이 등장하였으며 이는 필요한 물품을 필요한 시점에 맞춰 생산하는 시스템입니다. JIT는 불필요한 재고를 줄이고, 생산 과정의 효율성을 높이는 데 기여했습니다. 예를 들어, 일본의 도요타(Toyota)는 JIT 시스템을 도입하여 재고를 최소화하고 고객의 요구에 즉각적으로 반응할 수 있는 생산 체계를 구축하였습니다.
JIT의 성공은 공급업체와의 긴밀한 협력에 기반하고 있으며 이를 통해 공급망 전반의 리드타임을 단축할 수 있었습니다. 또한, Lean Manufacturing(린 생산 방식)과 같은 개념도 JIT와 밀접한 관련이 있으며, 이는 낭비를 최소화하고 가치를 극대화하는 데 초점을 맞추고 있습니다.4. 통합 공급망 관리 이론
1990년대에는 통합 공급망 관리 이론이 대두되었습니다. 이 이론은 공급망의 각 구성 요소가 독립적으로 운영되는 것이 아니라 서로 긴밀하게 연결되어야 한다는 것을 강조합니다. 이를 통해 정보의 흐름과 자원의 최적화를 도모할 수 있습니다.
통합 공급망 관리의 핵심은 협력과 정보 공유입니다. 기업 간의 파트너십을 강화하고 공급망 내의 모든 이해관계자가 실시간으로 정보를 공유함으로써 전체적인 효율성을 높이는 것이 목표입니다. 이 과정에서 ERP(Enterprise Resource Planning) 시스템의 도입이 중요한 역할을 하였으며, ERP 시스템은 기업의 모든 자원과 정보를 통합하여 실시간으로 관리할 수 있도록 도와줍니다.
또한, VMI(Vendor Managed Inventory)와 같은 개념이 발전하여 공급업체가 고객의 재고를 관리하는 방식도 도입되었습니다. 이는 공급망의 효율성을 높이고 고객의 요구를 보다 신속하게 충족할 수 있는 방법으로 자리 잡고 있습니다.5. 지속 가능성 및 윤리적 공급망 관리
최근에는 지속 가능성과 윤리적 공급망 관리가 중요한 이슈로 떠오르고 있습니다. 환경 문제와 사회적 책임이 기업의 경영 전략에 통합되면서 SCM에서도 지속 가능한 방법론이 필수적으로 요구되고 있습니다. 이는 자원의 효율적 사용뿐만 아니라 사회적 가치 창출을 목표로 합니다.
기업들은 투명한 공급망을 구축하고 윤리적인 방식으로 운영하기 위해 노력하고 있으며, 이를 통해 고객의 신뢰를 얻고 브랜드 가치를 높이고 있습니다. 예를 들어, 많은 기업들이 탄소 배출을 줄이기 위한 노력을 기울이고 있으며 친환경 포장재 사용 및 재활용 프로그램 도입 등의 방안을 통해 지속 가능한 공급망을 구축하고 있습니다.
또한, CSR(Corporate Social Responsibility)과 같은 개념이 SCM에 통합되면서 기업은 단순한 이윤 추구를 넘어 사회적 책임을 다하는 방향으로 나아가고 있습니다. 이러한 변화는 소비자와 투자자에게 긍정적인 영향을 미치며 기업의 장기적인 경쟁력을 강화하는 데 기여하고 있습니다.결론적으로, SCM의 역사와 주요 이론 및 모델은 비즈니스 환경의 변화에 따라 지속적으로 발전해 왔습니다. 각 이론은 특정 시대의 요구에 부응하며 공급망의 효율성을 높이기 위한 다양한 접근 방식을 제시했습니다. 앞으로도 SCM은 기술 발전과 글로벌화에 발맞추어 더욱 진화할 것이며, 기업의 경쟁력을 결정짓는 중요한 요소로 남을 것입니다.
반응형'SCM' 카테고리의 다른 글
[SCM] Value Chain 이해: 구매 (0) 2025.03.31 [SCM] Value Chain 이해: 생산 (0) 2025.03.31 [SCM] SCM의 구성 요소: 계획 (0) 2025.03.28 [SCM] 공급망 관리의 역사적 배경과 발전 과정 (0) 2025.03.26 [SCM] 공급망 관리의 정의와 중요성 (0) 2025.03.25